Premium Resources

We know the secret of your success

M208/G - PURE MATHEMATICS - 2017

$35.00

PAPER TITLE: PURE MATHEMATICS

EXAM DATE: THURSDAY 8, JUNE 2017

COUSRE CODE: M208/G

Question 1

Sketch the graph of the function f defined by

Your sketch should identify:

(a) any asymptotes to the graph;

(b) any points where the graph crosses the axes

Answers (Purchase full paper to get all solutions):

The sketch of the graph

 

  1. The vertical asymptotes of the graph is obtained by eating the denomination to zero

x+1 = 0

x = -1

therefore, Va = -1

the horizontal asymptotes(Ha) equal the degree of the numerator and the denominator = 1

  1. the point is indicated on the graph

Question 2

(a) Write down the converse of the following statement for positive integers m and n.

If 5 divides each of m and n then 5 divides m +2n.

(b) Of the statement in part (a) and its converse, one is true and one is false. Prove the true statement, and give a counter-example for the false statement.

Question 3

For each of the following sets, with the binary operation given, determine whether or not it forms a group, justifying your answer.

(a) ({1,2,4,8},×9)

 (b) ({1,3,9,11},×16

Question 4

The group table for a group G is given below.

 

e

a

b

c

d

f

g

h

e

e

a

b

c

d

f

g

h

a

a

b

c

e

h

g

d

f

b

b

c

e

a

f

d

h

g

c

c

e

a

b

g

h

f

d

d

d

g

f

h

e

b

a

c

f

f

h

d

g

b

e

c

a

g

g

f

h

d

c

a

e

b

h

h

d

g

f

a

c

b

c

(a) Show that H = {e,b} is a subgroup of G.

(b) Write down the left cosets of H in G.

(c) Show that H is a normal subgroup of G.

(d) Determine a group that is isomorphic to the quotient group G/H, justifying your answer

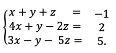
Question 5

This question concerns the system of linear equations

(a) Write down the augmented matrix for this system of linear equations.

(b) Find the row-reduced form of the matrix that you wrote down in part (a).

(c) Use your answer to part (b) to solve the system of linear equations

Question 6

Let t be the linear transformation

t : R3 → R3

(x,y,z) → (2x +2z,x−y +2z,2y−2z).

(a) Find a basis for Im(t).

(b) Determine the dimension of Ker(t).

(c) State whether t is one-one, and justify your answer

Question 7

Determine whether each of the following series converges or diverges, naming any result or test that you use.

Question 8

Determine whether the following function is continuous at 1, naming any result or rule that you use.

Question 9

This question concerns the symmetry group G of the regular octagon shown below.

Let g G be the anticlockwise rotation of the octagon through an angle of π/2 about the centre, and let h ∈ G be the reflection of the octagon in the line through the vertices at locations 2 and 6.

(a) Write g, g2 and h in cycle form, using the numbering of the locations of the vertices shown above.

(b) Express the conjugate ghg−1 of h by g in cycle form and identify this conjugate as a symmetry of the octagon.

(c) Determine the conjugacy class which contains h

Question 10

This question concerns the group (C,×) and the function  defined by

 : C* C*

      Z→ Z4

(a) Prove that  is a homomorphism.

(b) Determine the kernel and image of . (c) Identify the quotient group C/Ker   up to isomorphism, justifying your answer briefly

Question 11                   

Prove that the following limit exists, and determine its value.

Question 12

Prove that

Question 13

The permutations p = (126)(34) and q = (2536) are elements of S6.

  1. (i) Find each of the following as a permutation in cycle form. p−1,q2,q op, qopoq−1.

(ii) State the order of each of p, q, q2 and qop.

(iii) Write each of p, q and qop as a composite of transpositions, and hence determine the parity of each of p, q and qop.

  1. (i) Determine the subgroup H of S6 generated by p, giving the elements of H in cycle form.

(ii) Explain why s =(1435)is conjugate to q in S6 and determine all the elements of S6 which conjugate s to q

Question 14

This question concerns the matrix

(a) Show that (2,−1,−1) is an eigenvector of A, and find the corresponding eigenvalue.

(b) Use the characteristic equation of A to check the eigenvalue that you obtained in part (a), and find the remaining eigenvalues of A.

(c) Find the eigenspaces of A.

(d) Find an orthonormal eigenvector basis of A.

(e) Write down an orthogonal matrix P and a diagonal matrix D such that PTAP = D.

Question 15

  1. Determine whether each of the following sequences {an} converges or diverges, naming any result or rule that you use. If a sequence does converges, then find its limit.

         b. Determine the least upper bound of the set

Question 16

The set of matrices

forms a group under matrix multiplication.

(You are NOT asked to show that G is a group.)

  1. Show that the following equation defines a group action of G on the plane R2.

The remainder of this question refers to the group action defined above.

        b.(i) Find the orbit of each of

                (1,0); (0,1); (−2,1).

(ii) Give a geometric description of all the orbits of the action.

        c. Find the stabiliser of each of

                (1,0); (−2,1).

(d) Find Fix 

Question 17

a. Determine the Taylor polynomial T2(x) at−1 for the function

Show that T2(x) approximates f(x) with an error less than 0.001 on the interval [−1.5,−1].

b (i) Use the ε−δ definition of continuity to prove that the function

fx=x3- x2 is continuous at 1.

(ii) State whether the function   iuniformly continuous on the interval [0,2π], and justify your answer

(Purchase full paper by adding to cart)

Last updated: Sep 02, 2021 03:12 PM

Can't find a resource? Get in touch

AcademicianHelp

Your one-stop website for academic resources, tutoring, writing, editing, study abroad application, cv writing & proofreading needs.

Get Quote
TOP