Premium Resources

We know the secret of your success

M208/M - PURE MATHEMATICS - 2012

$35.00

PAPER TITLE: PURE MATHEMATICS

EXAM DATE: WEDNESDAY 17, OCTOBER 2012

COUSRE CODE: M208/M

Question 1

Sketch the graph of the function f defined by

 

Your sketch should identify:

(a) any asymptotes to the graph;

(b) any points where the graph crosses the axes

ANSWERS(Purchase full paper to get all the solutions):

The sketch of the graph

  1. The vertical asymptotes of the graph is obtained by eating the denomination to zero

5x-2 = 0

5x = 2

x = 0.4

therefore, Va = 0.4

the horizontal asymptotes (Ha) equal the degree of the numerator and the denominator = 1

  1. the point is indicated on the graph

Question 2

The complex numbers  and  are defined as

  and .

(a) Draw a diagram showing z1 and z2 in the complex plane.

(b) calculate the modulus .

(c) Express  in Cartesian form

Question 3

(a) Determine which of the following groups are cyclic, justifying your answer in each case. (You are NOT asked to prove that any of the following are groups.)

(i) ({0, 3, 6, 9}, +12)

(ii) ({1,3,9,11}, ×16)

(iii) ({1,9,11,19},20)

 (b) Determine an isomorphism between two of the groups listed in part (a), justifying your answer

Question 4

The group G = ({e, a, b, c, d, f, g, h}, 0) is defined by the following group table. (You are NOT asked to prove that G is a group.).

0

e

a

b

c

d

f

g

h

e

e

a

b

c

d

f

g

h

a

a

b

c

a

f

g

h

d

b

b

c

e

b

g

h

d

f

c

c

e

a

b

h

d

f

g

d

d

h

g

f

b

a

e

c

f

f

d

h

g

c

b

a

e

g

g

f

d

h

e

c

b

a

h

h

g

f

d

a

e

c

b

 

(a) Show that H = {e, b} is a subgroup of G.

(b) Write down the left cosets of H in G.

(c) Show that H is a normal subgroup of G.

(d) Determine a group from M208 that is isomorphic to the quotient group G/H, justifying your answer

Question 5

The position vectors of the points A and B in the plane are

a = (−1,0) and b = (1 ,4), respectively.

 (a) Draw a sketch showing the points A and B, and the line L through A and B.

(b) Find the position vector r of a general point on the line 

(c) Find the point P on L whose position vector is perpendicular to L

Question 6

Find the matrix of the linear transformation

T: R2R2

(x, y) (2x+3y, x-4y)

with respect to

(a) the standard basis for both the domain and the codomain;

(b) the basis {(3, 1), (1, -4)} for the domain and the standard basis for the codomain;

(c) the basis {(3,1),(1, -1)} for both the domain and the codomain.

Question 7

 Determine whether or not each of the following sequences {an} converges, naming any result or rule you use. If a sequence does converge, find its limit.

Question 8

Determine whether or not the function f, defined below, is continuous at 1, naming any result or rule you use.

 

Question 9

This question concerns the symmetry group G of the regular octagon shown below

 

Let g G be the clockwise rotation of the octagon through an angle of π/4 about its centre, and let h G be the reflection of the octagon in the line through the vertices at locations 3 and 7.

(a) Write g, g2 and h in cycle form, using the numbering of the locations of the vertices as shown above.

(b) Express the conjugate ghg−1 of h by g in cycle form and identify this conjugate as a symmetry of the octagon.

(c) Are the symmetries k = (16)(25)(34)(78) and l = (15)(26)(37)(48) conjugate in G? Justify your answer

Question 10

 A group action of the group (R, +) acting on the plane R2 is defined by the equation

c (x, y) = (x + cy, y),

where c  R and (x, y)  R2. (You are NOT asked to show that this is a group action.)

  1. Determine the orbits of each of the points

(1,0); (0,1); (1,2).

  1. Give a geometric description of ALL the orbits of the action

Question 11

Prove that the following limit exists, and determine its value

                            

Question 12

Determine the interval of convergence of the power series

                     

Question 13

The permutations p = (1 3 4) (2 5) and q = (2 5 3 4) are elements of S5.

  1. (i) Find each of the following as a permutation in cycle form: p2, q0p, q−1 and q0p0q−1.

(ii) State the order of each of p, q, p2 and q0p.

(iii)Write each of p, q and q0p as composites of transpositions, and hence determine the

parity of each of p, q and q0p.

  1. (i) Determine the subgroup H of S5 generated by p.

(ii) Determine the elements of the conjugate subgroup H = qHq−1

(iii)Explain why s = (2 3 5) (1 4) is conjugate to p in S5 and find all the elements of S5

which conjugate s to p.

Question 14

Consider the following subset of R3.

S = {(a, b, b−2a) : a,   R }

(a) Show that S is a subspace of R3.

(b) Show that {(1,1, −1), (2,1, −3)} is a basis for S, and write down the dimension S

(c) Find an orthogonal basis for S that contains the vector (1, 1, −1).

(d) Express the vector (3,1, −5) in S as a linear combination of the vector in the orthogonal basis for S that you found in part(c).

Question 15

Determine whether or not each of the following series converges, naming any result or test that you use.

  1.  

Question 16

The sets

U =,

G = and V = 

form groups under matrix multiplication. (You are NOT asked to prove that these are groups.) The function : U → (R*, x) is defined by

 : → ad.

(a) Show that ∅ is a homomorphism from U onto R*.

(b) Find Ker () and show that  and  are in the same coset of Ker(). 

(c) Prove that V is a normal subgroup of U.

(d) The function f: U → G defined by

f :  

is a homomorphism. (You are NOT required to show that f is a homomorphism.) Use f to show that the quotient group U/V is isomorphic to G.

Question 17

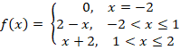
(a) The function f is defined on the interval [−2,2] by

 

  1. Sketch the graph of f.

(ii) Determine the values of the Riemann sums L(f, P) and U(f, P) for the partition P of [−2,2] where P =[−2,−1],[−1,0],{0, },[

(b) Let

 =

  1. Evaluate .
  2.  Prove that n≥1

   =

       (iii) Hence determine the values of  and .

(Purchase full paper by adding to cart)

Last updated: Sep 02, 2021 03:10 PM

Can't find a resource? Get in touch

AcademicianHelp

Your one-stop website for academic resources, tutoring, writing, editing, study abroad application, cv writing & proofreading needs.

Get Quote
TOP